電纜保護鏈條 Q&A

我們已將客戶提出的「常見問題」以問答形式發布。請點選問題查看答案。

電纜保護鏈條

Q&A 中的詞語

Q1 電纜保護鏈條塑膠系列電纜輸送機的電纜和軟管儲存區域的設計概念(體積比)是什麼?
Q2 電纜保護鏈條塑膠系列隔板的安裝週期是多少?
Q3 什麼是移動行程、自由跨距、預留長度、彎曲半徑和支撐滾輪?
Q4 電纜保護鏈條塑膠系列採用何種材質製成?
Q5 電纜保護鏈條塑膠系列的耐化學性如何?
Q6 電纜保護鏈條塑膠系列的阻燃性能如何?
Q7 電纜保護鏈條可以在戶外使用嗎?
Q8 活動端支架能否用於固定端金具端,反之亦然?
Q9 有沒有適合無塵室使用的電纜保護鏈條?
Q10 我可以購買電纜保護鏈條配件,例如插銷嗎?
Q11 請告訴我TKP0450舊型號和TKP45H25的區別。
Q12 電纜保護鏈條是否符合RoHS指令?
Q13 到目前為止,規格有哪些變化?
Q14 如何銷售未在目錄中列出的TKP0320、TKP0625和TKP0625H?
Q15 電纜保護鏈條可以剪斷或拼接嗎?
Q16 安裝高度(H')和總高度(H)有什麼不同?
Q17 安裝總高度而不是安裝高度會產生什麽影響?
Q18 什麽是空間要求?
Q19 使用加長自由跨距規格時應注意什麼?
Q20 如果我同時訂購電纜保護鏈條主體和配件(安裝支架、隔板等),電纜托架將採用哪種包裝形式?
Q21 CLEANVEYOR和FLATVEYOR可以用於多個階段嗎?
Q22 FLATVEYOR ZP規範能否在多個階段中使用?
Q23 我可以在FLATVEYOR上使用FLATVEYOR ZP 規格的支架嗎?
Q24 是否可以將其安裝得比產品目錄或報價圖中規定的安裝高度 (H') 更低?
Q25 我無法確保獲得符合FLATVEYOR ZP 規格所需的空間(寬度)(高度)。我可以使用它嗎?
Q26 如何申請CLEANVEYOR篩選?
Q27 關於FLATVEYOR ZP 規格,能否透過增加支撐構件的數量來增加支撐材料的數量或延長移動行程?
Q28 如果多個支撐件存放在FLATVEYOR ZP 規格的開/閉管中,支撐件會互相滑動還是磨損粉?
Q29 FLATVEYOR ZP 的支架可以進行陽極處理或其他表面處理嗎?
Q30 關於FLATVEYOR ZP 的規格,如果預先安裝一個備用的開合管,以便將來添加支撐,那麼這個備用開合管可以空著使用嗎?
Q31 是否可以申請安裝CLEANVEYOR和FLATVEYOR的電纜和管道連接器?
回答
Q1 電纜保護鏈條塑膠系列電纜輸送機的電纜和軟管儲存區域的設計概念(體積比)是什麼?
A1

電纜、軟管橫排設置,帶隔板的請安裝隔板。電纜、軟管的收納容積率在60%以下,但即使在60%以內,多段重疊的話有可能會發生包覆的早期磨損或斷線,所以請避免使用。

TKP型、TKC型、TKMK型、TKMT型、TKR型、TKQ型、TKUA型時

電纜收納部根據電纜軟管的外徑、根數檢查斷面的空間來決定。可以安裝的隔板可以安裝所需數量。

1) 電纜軟管的外部直徑和內部寬度之間的間距應大於或等於2mm,或大於電纜軟管直徑的10%。

2) 電纜軟管應並排放置。堆疊多層電纜軟管可能會磨損或損壞護套。

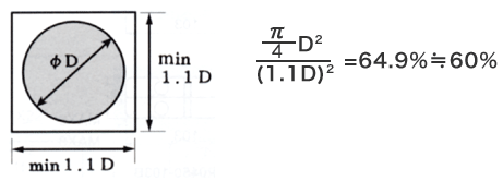
3) 電纜軟管的插入量不得超過內部體積的60%。(請參照下圖。)

4) 電纜軟管的數量應在不對電纜軟管施加過大壓力的範圍內。

5) 帶隔板的請安裝隔板。如果可能,請確定分隔板的數量,以便每個孔可以容納一根電纜。
另外,電纜、軟管的排列請考慮左右重量的平衡。

6) 隔板數量
隔板每隔2個鏈節安裝。
隔板的數量=1鏈節上安裝的個數×安裝鏈節數

7) 隔板採用部分進給。

關於電纜軟管收納容積率60%的想法

關於使用分隔板收納電纜軟管

如果幾條電纜/軟管直接堆疊在一起且長度相同,則如下圖 (1) 所示,電纜在彎曲 R 處會被壓扁(因為長度相同,所以無法進行外部旋轉)。為防止此現象,請使用下圖 (2) 所示的分隔器,並使上段的電纜和軟管長於下段的差異彎曲半徑,這樣電纜和軟管就不會直接相互摩擦。

返回到問題
Q2 電纜保護鏈條塑膠系列隔板的安裝週期是多少?
A2

每兩個鏈節安裝一次。另外,由於結構上可以安裝在各連接件上,如果軟管等反彈強烈,擔心隔板脫落,請安裝在各連接件上。

返回到問題
Q3 什麼是移動行程、自由跨距、預留長度、彎曲半徑和支撐滾輪?
A3
自由跨距長 (F) 這指的是電纜保護鏈條支撐點之間的距離,允許長度由型號決定。 (請參閱規格表和各效率圖。)
移動行程(S) 設備的移動部分 (電纜移動端) 來回移動的兩點之間的距離。
預留長度(K) 這是電纜保護鏈條為應對安裝尺寸誤差而預留的餘裕。
彎曲半徑 電纜保護鏈條以一定的半徑沿某一方向彎曲。此時,R 表示彎曲半徑。 (旋轉規格可沿兩個方向彎曲。)
支承輥 (R) 如果需要行程為(自由跨距)-(預留長度)的兩倍或以上,或移動行程超過最大移動行程,則安裝支撐滾輪(或板)來支撐電纜保護鏈條。

返回到問題
Q4 電纜保護鏈條塑膠系列採用何種材質製成?
A4

TKP型、TKC型、TKMK型、TKMT型、TKR型均為以聚酰胺樹脂為基礎的工程塑膠。

TKP低摩擦、低磨損規格以聚甲醛樹脂為基礎。

TKQ型 (舊TKE型) 僅側邊帶為聚丙烯。

返回到問題
Q5 電纜保護鏈條塑膠系列的耐化學性如何?
A5

電纜保護鏈條塑膠系列採用工程塑膠(工程塑膠),具有優異的耐化學腐蝕性。


在選擇電纜保護鏈條時,請查看下表,以了解電纜保護鏈條塑膠系列中使用的工程塑膠的材料是否具有足夠的耐各種溶劑的化學性能。
表格顯示了材料在 20°C 時的性能水平,但不代表品質保證水準。
實際使用本產品時,請考慮濕度、溫度和其他使用條件。

溶劑 不鏽鋼 工程塑膠
右記以外標準品 低摩擦・
低磨損樣式
TKQ (舊TKE)
側邊綁帶
丙酮
油(植物、礦物)
酒精
氯化鈣溶液 ×
氯化鈉 ×
鹽酸 (2%) × × × ×
海水 ×
過氧化氫 × × × ×
氫氧化鈉 (10%) ×
甲酸 (10%) × ×
檸檬酸 (10%) ×
鉻酸 (1%) × × ×
醋酸 (5%) ×
四氯化碳
次氯酸鈉 (10%) × × × × ×
硝酸鹽 (5%) × × × ×
潤滑油
氫氧化鉀
肥皂水
石油
柴油
甲苯
石蠟
× × × × ×
硫酸 × × × × ×
磷酸 (10%) × × × ×
凡士林

* 工程塑膠是指敝公司的電纜拖鏈 塑膠系列產品本體鏈節所使用的工程塑膠材質,以及其抗藥性產品性能。

*電纜保護鏈條塑膠系列通常由工程塑膠主體和兩端的鋼製配件組成。

返回到問題
Q6 電纜保護鏈條塑膠系列的阻燃性能如何?
A6

我們的電纜保護鏈條塑膠系列(TKP、TKR、TKUA、TKC、TKMK、TKMT*)的阻燃性能符合UL標準(美國保險商實驗室標準),該標準是對塑膠製品阻燃安全性的測試,所用塑膠材料符合UL94HB標準。我們也可以生產符合UL94V-0阻燃規格的產品,詳情請與我們聯絡。 *部分尺寸除外。

返回到問題
Q7 電纜保護鏈條可以在戶外使用嗎?
A7

它通常建議在室內使用,但也用於室外。
然而,戶外使用會帶來一些獨特的環境問題,例如風、雨和灰塵,因此我們建議採取一些措施,例如安裝防護罩。請注意,電纜保護鏈條在冰凍狀態下無法使用。我們提供不鏽鋼材質的支架以防銹,詳情請與我們聯絡。

返回到問題
Q8 活動端支架能否用於固定端金具端,反之亦然?
A8

依規定將活動端支架連接到活動端,將固定端金具連接到固定端。

但是,即使未明確指定,也可以使用TKP91H80、TKMK和TKH250。 (異形產品和加長自由跨距規格產品不適用。)

返回到問題
Q9 有沒有適合無塵室使用的電纜保護鏈條?
A9

椿本公司推出FLATVEYOR一系列低粉塵的電纜系統,包括:適用於大批量生產設備的自立式扁平電纜系統“ CLEANVEYOR”;便於後期更換或安裝電纜的“ FLATVEYOR ZP”規格;以及因彎曲變形而粉塵和噪音極低的“TKR”型電纜。此外,還有用途最廣泛的TKP型電纜——TKP-MW規格,它採用高滑動性工程塑膠材料,有助於提高電纜的保護性和清潔度。

返回到問題
Q10 我可以購買電纜保護鏈條配件,例如插銷嗎?
A10

TKP和TKC臂,TK型銷軸/固定環等許多部分可以部分購買。
請與附近的販賣店協商。

返回到問題
Q11 請告訴我TKP0450舊型號和TKP45H25的區別。
A11

TKP0450舊型號有舊型號和新型號。TKP0450舊款已於2002年9月末停止銷售。
TKP0450新款式現已將型號變更為TKP45H25。
請考慮使用現行型號TKP45H25 (TKP0450新型號) 。

舊形番 現行型號
TKP0450 舊型號 -
新型號 TKP45H25
舊形番 現行型號
TKP0450-1B
TKP0450-20
TKP45H25 (內寬38mm)
TKP0450-2B
TKP0450-40
TKP45H25 (內寬58mm)
TKP0450-3B
TKP0450-60
TKP45H25 (內寬78mm)
TKP0450-81B
TKP0450-85
TKP45H25 (內寬103mm)

TKP0450新型號 (當前型號TKP45H25) 特點功能和性能比較

關於TKP0450新型號 (當前型號TKP45H25) 的兼容性

從舊型號到新型號 (當前型號TKP45H25) 過渡的註意事項

1.舊款 (開關型) ⇒新款 (現行型號TKP45H25)

本體、金屬配件的兼容性請參照下面的比較表。

更換時請註意以下幾點。

1.加長自由跨距規格 新型號(目前型號為 TKP45H25)的外框高度較低,因此需要更換加長自由跨距導軌零件(墊片)。
(適用型號:TKP0450-2B、3B)
2.新舊尺寸的差異 部分型號的尺寸略有不同。W103的外寬比現行產品大4mm,更換時請註意。

2.舊款 (一體型) ⇒新款 (現行型號TKP45H25)

本體、金屬配件的兼容性請參照下面的比較表。

新舊尺寸的差異

部分型號的尺寸略有不同。W58、W78、W103的外寬比現行產品大4mm,更換時請註意。

3.新舊模型尺寸比較表

現舊區分 尺寸 內尺寸
a×b
內尺寸
互換性
外尺寸
a×b
外部尺寸
互換性
安裝金屬的
孔位置互換性
現舊
連結互換性
現行型號 TKP45H25 (內寬38mm) 25×38 - 36×56 - - -
舊型號 開合型 TKP0450-1B 24×38 34×54 ×
一體式 TKP0450-20 25×38 34×54 ×
現行型號 TKP45H25 (內寬58mm) 25×58 - 36×78 - - -
舊型號 開合型 TKP0450-2B 24×58 40×78 ×
一體式 TKP0450-40 25×58 34×74 ×
現行型號 TKP45H25 (內寬78mm) 25×78 - 36×98 - - -
舊型號 開合型 TKP0450-3B 24×78 40×98 ×
一體式 TKP0450-60 25×78 34×94 ×
現行型號 TKP45H25 (內寬103mm) 25×103 - 36×123 - - -
舊型號 開合型 TKP0450-81B 24×103 40×119 ×
一體式 TKP0450-80 25×103 34×119 ×

◎兼容(內尺寸互換性為舊規格以上的尺寸,外尺寸互換性為舊規格以下的尺寸)

〇有兼容性也需要註意(尺寸基本相同,但外部尺寸稍大,請註意不要與周邊裝置發生幹涉。)

△由於尺寸差異較大,安裝時請註意不要與外圍設備發生幹擾。

否不兼容

返回到問題
Q12 電纜保護鏈條是否符合RoHS指令?
A12

我們所有的電纜保護鏈條(部分配件除外)均符合 RoHS 指令。

返回到問題
Q13 到目前為止,規格有哪些變化?
A13

■規格變更品列表

品種 TKP型
現行型號 TKP13H10-30W6 TKP13H10-30W15 TKP13H10-20W6
/W10/W15/W20
舊形番 TKP0130W6
・2008年1月規格變更※1
TKP0130W15
・2008年1月規格變更※1
TKP0130W6T
/W10T/W15T/W20T
・2008年1月規格變更※1
TKP0130-06B TKP0130-15B TKP0130-06/10/15/20
更改時間 2008年1月
變更部分 主體和支架
現行型號與
舊型號的連結
不可
兼容性 全套更換兼容
變更點
・備註
·擴大連接部分的銷子直徑和改變鏈節形狀

※根據1時的時期,有可能是舊規格產品。

品種 TKP型
現行型號 TKP18H14-30W20 TKP18H14-30W30 TKP18H15-20W15
/W20/W30/W40
舊形番 TKP0180W20
・2008年1月規格變更※1
TKP0180W30
・2008年1月規格變更※1
TKP0180W15T
/W20T/W30T/W40T
・2008年1月規格變更※1
TKP0180-20B TKP0180-30B TKP0180-15/20/30/40
更改時間 2008年1月
變更部分 主體和支架
現行型號與
舊型號的連結
不可
兼容性 全套更換兼容
變更點
・備註
·擴大連接部分的銷子直徑和改變鏈節形狀

※根據1時的時期,有可能是舊規格產品。

品種 TKP型
現行型號 TKP35H22-30/40W25 TKP35H22-30/40W50 TKP45H25
舊形番 TKP0350W25 TKP0350W50 TKP0450W38/W58/W78/W103
TKP0450-38B/58B/78B/103B
TKP0350-25B
・2006年1月規格變更※1
TKP0350-50B
・2006年1月規格變更※1

開臂式:

TKP0450-1B/2B/3B/81B

臂一體式:

TKP0450-20/-40/-60/-85

更改時間 2006年1月 2002年10月
變更部分 主體和支架 主體和支架
現行型號與
舊型號的連結

・鏈節・鏈節之間
・支架與鏈節的連接
不可
兼容性 本體鏈節:有
支架:無

開臂式:有

臂一體型:本體鏈節-有

托架-無

變更點
・備註
·支架改變了安裝孔位置,不兼容

舊規格型號

搖臂型號:TKP0450-1B/2B/3B/81B

臂一體型型號:TKP0450-20/-40/-60/-85

※根據1時的時期,有可能是舊規格產品。

品種 TKP型 TKR型
現行型號 TKP91H56 TKP91H80 TKR20H28
舊形番 TKP0910H56
・2009年4月規格變更※1
TKP0910H80
・2009年4月規格變更※1
TKR0200H28W**
- - TKR0200W**
更改時間 2009年4月 2011年9月
變更部分 僅支架 僅支架 主體和支架
現行型號與
舊型號的連結

・與本體連接

・與本體連接
不可
兼容性 全套更換兼容
變更點
・備註
變更支架 (與裝置) 安裝螺栓用孔徑
·支架的孔徑及孔距不變

※根據1時的時期,有可能是舊規格產品。

返回到問題
Q14 如何銷售未在目錄中列出的TKP0320、TKP0625和TKP0625H?
A14

2015年度結束銷售。

返回到問題
Q15 電纜保護鏈條可以剪斷或拼接嗎?
A15

所有電纜保護鏈條塑膠系列都可以用一字螺絲起子和塑膠錘進行切割和拼接。
對於 TKMK 系列,拆卸臂時最好使用扳手。

詳情請參閱使用使用說明書。

返回到問題
Q16 安裝高度(H')和總高度(H)有什麼不同?
A16

電纜保護鏈條略微凸起,以補償主體和電纜重量造成的撓曲,因此請將其安裝在安裝高度 H' 而不是電纜保護鏈條的總高度 H 上。
*請注意,加長自由跨距規格的安裝高度與標準產品的安裝高度不同。

返回到問題
Q17 安裝總高度而不是安裝高度會產生什麽影響?
A17

強行按壓膨脹使其運轉的話,移動端附近會施加不合理的力。
因條件而異,可能會提前斷裂,請將安裝高度更改為建議的安裝高度。

返回到問題
Q18 什麽是空間要求?
A18

根據使用條件和氛圍,自由跨度部分會產生膨脹或彎曲。請確保必要的空間。(所需空間因型號而異)
另外,使用速度加快時可能會產生振動,因此若超過最大容許速度的70%,請將所需空間加倍。

返回到問題
Q19 使用加長自由跨距規格時應注意什麼?
A19

詳情請參閱技術資料「電纜保護鏈條操作 - 章節:安裝加長自由跨距導軌時的注意事項」。

返回到問題
Q20 如果我同時訂購電纜保護鏈條主體和配件(安裝支架、隔板等),電纜托架將採用哪種包裝形式?
A20

將本體和移動端、固定端、分隔板等附屬零部件作為一套包裝、發貨到同一個箱子。


訂單示例

TKP45H25-30W38R50+20L-FOA-MOA x 6H (20L +固定端金具FOA + 活動端支架 MOA x 6)

TKP45H25-ST×60K (縱向分隔板60個)

本體20鏈節 x 2 + 配件 x 2 套
・固定端金具
・行動端接頭
・垂直分隔線
本體20鏈節 x 2 + 配件 x 2 套
・固定端金具
・行動端接頭
・垂直分隔線
本體20鏈節 x 2 + 配件 x 2 套
・固定端金具
・行動端接頭
・垂直分隔線
返回到問題
Q21 CLEANVEYOR和FLATVEYOR可以用於多個階段嗎?
A21

CLEANVEYOR最多可堆疊六層。不建議堆疊FLATVEYOR,因為產品可能會相互滑動,導致產生粉塵。

返回到問題
Q22 FLATVEYOR ZP規範能否在多個階段中使用?
A22

根據條件可以。但是,由於商品之間滑動,會誘發灰塵,因此不推薦在清潔環境下使用。

返回到問題
Q23 我可以在FLATVEYOR上使用FLATVEYOR ZP 規格的支架嗎?
A23

是的,可以。可使用L型塊來安裝FLATVEYOR托架。

返回到問題
Q24 是否可以將其安裝得比產品目錄或報價圖中規定的安裝高度 (H') 更低?
A24

請在本公司推薦的安裝高度內安裝。如果安裝高度低於本公司推薦的安裝高度,會抑制膨脹,有可能提前斷裂。

返回到問題
Q25 我無法確保獲得符合FLATVEYOR ZP 規格所需的空間(寬度)(高度)。我可以使用它嗎?
A25

也有可以使用的情況,請咨詢。另外,所需空間 (寬度) (高度) 在設定時考慮了以下因素。【所需空間 (寬度) 】 有時由於開閉管道的變形,彎曲部會向寬度方向擴展。(每根開閉管約5mm) 【所需空間 (高度) 】 由於電纜、管的反彈力等原因,彎曲部有可能高於設置高度。

返回到問題
Q26 如何申請CLEANVEYOR篩選?
A26

請在選擇委托表上填寫使用條件後,聯係本公司。

返回到問題
Q27 關於FLATVEYOR ZP 規格,能否透過增加支撐構件的數量來增加支撐材料的數量或延長移動行程?
A27

新使用時,根據支承物質量和加速度等使用條件,有時可以超過目錄值增加支承物、延長行程。有關詳細信息,請在選擇申請表上填寫使用條件並與我們聯係。

返回到問題
Q28 如果多個支撐件存放在FLATVEYOR ZP 規格的開/閉管中,支撐件會互相滑動還是磨損粉?
A28

雖然滑動現象確實存在,但我們內部進行了類似的測試,並未發現因滑動造成的損壞。 Flatveyor ZP FLATVEYOR建議每個開/關管存放一條電纜或管子,但考慮到便利性和實際使用情況,也制定了存放多根管子的標準。詳情請參閱 Clean 系列產品目錄第 10 頁。

返回到問題
Q29 FLATVEYOR ZP 的支架可以進行陽極處理或其他表面處理嗎?
A29

是的,可以。另外,金屬板和金屬板固定螺栓為不銹鋼制,僅L型塊可用於陽極氧化鋁等特殊表面處理。也有一部分無法處理的表面處理,請咨詢。

返回到問題
Q30 關於FLATVEYOR ZP 的規格,如果預先安裝一個備用的開合管,以便將來添加支撐,那麼這個備用開合管可以空著使用嗎?
A30

只要依照能力曲線圖所示的條件使用,就不會有問題。

返回到問題
Q31 是否可以申請安裝CLEANVEYOR和FLATVEYOR的電纜和管道連接器?
A31

是的。請在提交詢價表時附上線束圖。即使您提供的電纜兩端都附有連接器,也無法安裝在CLEANVEYOR上。

返回到問題